Workflow
万科
icon
Search documents
2.59亿元起!蓝光长岛国际社区1289套房源将被法拍!
Sou Hu Cai Jing· 2026-02-18 01:06
临潼新区,在前几年西安楼市火爆时期,曾经是郊区板块的热点之一。 如今,与其它郊区板块类似,临潼新区楼市也是大幅降温。 同时,这个板块内一些曾经的知名项目,则由于债务纠纷等,房源被摆上法拍平台。 这其中,就包括蓝岛国际社区。 如今,蓝光长岛国际社区五期超千套房源,已经被摆上了阿里司法拍卖平台,在3月中旬将会被拍卖。 01 1289套房源,2.59亿元起 阿里司法拍卖平台上近日发布了蓝光长岛国际社区五期超千套房源的司法拍卖预告信息,处置法院为陕西省咸阳市中级人民法院。 立丰的这块地之所以比较便宜,是因为当时的土地出让文件中规定宗地内需建设并自持5万平米的集中商业综合体。 立丰地产是西安本土老牌房企,以引入百盛,以及开发了东二环的立丰国际而知名,因此当立丰拿下秦汉大道这宗包含有大量商业地块的土地之后,大家 期待的是立丰能够在此开发建设一座商业综合体。 此次司法拍卖,分为4个标的物进行拍卖,其中: 此次法拍共计涉及到蓝光长岛国际社区五期7栋楼,共计1289套,评估价合计为30498.52万元,起拍价合计为25923.72万元,相当于是按照评估价的8.5折 进行起拍,拍卖时间为2026年3月16日上午10时。 蓝光长岛 ...
北京炒股大赛冠军说:炒股最笨的方法反而最有效,越简单越不犯错
Sou Hu Cai Jing· 2026-02-16 20:50
前言: 炒股最困难的不是选股,也不是买卖,而是等待; 人生最困难的不是努力,也不是奋斗,而是抉择。 成功的投资者懂得"忍耐"和"自制",以待时机。 可是当他们买卖之后,发觉自己的想法不对时,也会立即终止合约。另外,还必须承认大部分行情我们 是看不太懂的。康德说过我们认识的只是世界的表像,而作为事物的本质即"物自体",我们是认识不到 的,我感兴趣的是他很严肃冷静地让我们意识到人类认识的局限性,这种意识放到市场是很准确的,也 有助于我们思考。 老子曰:"洼则盈,敝则新,少则多,多则惑。"这是告诉我们,不能贪,要舍得放弃。能舍反而得到, 有时是小舍小得,大舍大得;想贪反而失去。 学会放弃也是一种智慧。想成为赢家,必须有严格的自律。 追求炒股利润的最大化,是大家共同的心愿。可是,很多时候,我们却又败在了追求最大化这一目标 上。我们股民在一起讨论的时候,大家最常说的一句话就是:"本来买入这个股票后,我有百分之多少 多少的获利了,可是,还没有涨到我的理想价位,没卖,结果又跌了回来,又被套了。"可以说,我们 手中大部分被套的股票,在起初介入的时候,都有过或多或少的盈利,正是由于我们的贪婪,没有及时 止盈,最终转盈为亏,直至 ...
2025年房企预亏超2000亿 行业调整进入“深水期”
天天基金网· 2026-02-15 07:30
Core Viewpoint - The A-share listed real estate companies are facing significant losses in 2025, with 74% of the 77 companies that released earnings forecasts expecting to report losses totaling approximately 208.2-209.4 billion yuan, indicating a deep industry adjustment [2][4]. Group 1: Loss Forecasts - Among the companies, Vanke is expected to incur the largest loss of 820 billion yuan, marking the highest loss in A-share real estate history, a 65.7% increase from 2024 [4]. - Other companies with substantial losses include China Fortune Land Development (160-240 billion yuan), Greenland Holdings (160-190 billion yuan), and China Overseas Land & Investment (130-155 billion yuan) [4][5]. - The overall decline in sales volume and prices is reflected in the financial metrics, with a reported 8.7% decrease in new housing sales area and a 12.6% drop in sales revenue [5]. Group 2: Common Challenges - The primary reasons for the losses include weak sales leading to reduced profit recognition, as profits from real estate sales are recognized with a lag [6]. - Despite diversification efforts, companies remain heavily reliant on real estate development, which has been underperforming during the industry downturn, limiting their ability to offset losses from core operations [6]. - Asset impairment provisions have surged due to declining real estate prices, with Vanke reporting over 50 billion yuan in impairments, significantly impacting overall losses [6]. Group 3: Notable Exceptions - Kaisa Group stands out as a positive example, projecting a net profit of 300-350 billion yuan for 2025, primarily due to debt restructuring gains of 680-700 billion yuan [7]. - The company has shifted its focus from traditional real estate development to light asset operations, including property services and commercial management, to enhance resilience against market fluctuations [7]. Group 4: Industry Outlook - The year 2025 is seen as a critical period for the real estate sector, with ongoing adjustments expected to lead to a gradual recovery starting in 2026, supported by favorable policies and market improvements [11][12]. - Regulatory measures are being implemented to stabilize the financing environment and stimulate demand, which may help quality companies regain market share while weaker firms face potential elimination [11][12].
万科2026年迎偿债高峰,特定债券转让安排引关注
Jing Ji Guan Cha Wang· 2026-02-14 11:54
Recent Events - In the second quarter of 2026, the company will face a significant debt maturity peak, totaling approximately 6.5 billion yuan, with the next tranche of RMB bonds maturing in April. This upcoming debt requires the company to secure funding for repayment, indicating ongoing liquidity pressure [1]. Company Status - Certain bonds, such as "21 Vanke 02" and "21 Vanke 04," among seven others, will be transferred as specific bonds starting from February 6, 2026. The pricing method will shift from net price to full price, and the investor scope will be limited to professional institutional investors. This measure is part of the company's debt management strategy aimed at alleviating short-term liquidity pressure [2]. Financial Status - The year 2026 is viewed as a critical year for the company's debt repayment pressure, as it must address the concentrated maturity of public market debts. The ability to mitigate risks will depend on factors such as sales recovery, asset disposal progress, and support from shareholders. Additionally, the company disclosed an expanded loss in its 2025 performance forecast, although its operational service business remains stable. The major shareholder, Shenzhen Metro Group, has provided over 30 billion yuan in loan support. The company has stated it will focus on asset optimization and debt resolution, but operational challenges remain severe [3].
济南楼市春节不打烊,改善需求表现强劲
Qi Lu Wan Bao· 2026-02-14 02:14
Core Viewpoint - The real estate market in Jinan is experiencing a continued adjustment in 2025, with new residential sales prices declining and a shift in market structure towards larger, improvement-oriented housing types [1][11]. Group 1: Market Trends - In 2025, the average sales price index for new residential properties in Jinan decreased by 2.6% year-on-year, while the second-hand residential price index fell by 4.4% [1]. - The average transaction area for new residential properties reached a historical high of 137.05 square meters, with 44.89% of transactions being for improvement-type units between 120-144 square meters, and 29.73% for units larger than 144 square meters [1][7]. - The market is seeing a strong demand for improvement-type housing, with over 94% of new homes sold being larger than 100 square meters [11]. Group 2: Marketing Strategies - During the 2026 Spring Festival, many real estate companies in Jinan launched promotional activities, offering significant discounts and incentives to attract buyers [2][4]. - Various projects provided substantial subsidies, with some offering up to 300,000 yuan in discounts, alongside promotional events like appliance giveaways and themed activities to enhance customer engagement [4][5]. Group 3: Consumer Behavior - There has been a notable increase in customer visits and transactions, with some projects reporting over 800 groups of visitors in a month, indicating a robust demand for improvement-type housing [5][7]. - The majority of new home sales are concentrated in the 120 square meters and above category, with a significant preference for small high-rise, villa, and large flat products [7][8]. Group 4: Industry Dynamics - The Jinan real estate market is shifting from "incremental expansion" to "stock optimization," with a focus on product innovation and service enhancement [8][10]. - The industry is witnessing an increase in concentration, with leading firms focusing on high-quality developments and innovative designs to meet evolving consumer demands [10][12]. Group 5: Future Outlook - The market is expected to stabilize in 2026, with continued improvement in the matching of supply and demand for quality housing, particularly in core areas [11][12]. - Policies such as the optimization of housing provident funds are anticipated to further support the real estate market, making it easier for families to purchase high-quality homes [12].
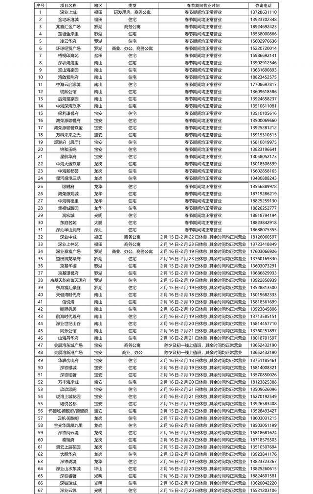
春节不打烊,礼包等你来!深圳房企推出春节购房优惠
Sou Hu Cai Jing· 2026-02-14 00:48
Group 1 - During the Spring Festival, several quality real estate companies in Shenzhen launched promotional activities to attract consumers, including special gifts for those staying in the city or visiting [1] - In 2025, over 10,000 new residential units are expected to be purchased by non-Shenzhen residents, with sales amounting to nearly 60 billion yuan, indicating a growing interest in Shenzhen as a place to live and work [2] - The "iShenzhen" platform will provide personalized online viewing services during the Spring Festival, allowing potential buyers to filter properties based on their preferences and access virtual tours [4] Group 2 - Real estate projects such as Jindi Huanwan City and China Overseas Deyun Jiu Chapter will offer special discounts and gifts during the Spring Festival to enhance the buying experience [3] - More than 30 real estate projects in Shenzhen will remain open during the Spring Festival, utilizing both online and offline marketing strategies to serve buyers [3] - Real estate agencies like Le You Jia will also provide various promotional activities for second-hand housing during the holiday period [3]
未知机构:2026年房地产市场前低后高全年板块或迎来两大拐点25年房-20260213
未知机构· 2026-02-13 01:55
Summary of Conference Call Notes Industry Overview - The real estate market is expected to experience a "front low and back high" trend in 2026, with two significant turning points anticipated throughout the year [1][3]. - The real estate market and investment continue to face adjustment pressures in 2025 [1][3]. Short-term Strategies - Short-term measures should focus on destocking and boosting demand and confidence to stabilize the market [1][3]. - Support for reasonable financing needs of real estate companies is essential to stabilize investment [1][3]. - Immediate policy interventions are necessary to prevent a sharp market decline [1][3]. Long-term Strategies - In the medium to long term, there is a need to guide real estate companies to actively transform from increasing investment development value to enhancing service operation value [2][3]. - Development models and systems require updates to adapt to changing market conditions [2][3]. Market Dynamics - The ongoing market weakness is primarily due to supply-demand mismatches and weak expectations regarding future housing prices [4]. - Recommendations include: 1. Government side (G-end): Utilize land reserves and urban renewal to absorb supply and create demand [4]. 2. Business side (B-end): Activate existing assets through securitization and restructuring to shift supply [4]. 3. Consumer side (C-end): Adjust administrative, provident fund, and fiscal policies to boost consumer demand and digest supply [4]. Investment Trends - Real estate investment continues to weaken, largely due to significant financial pressures on developers [5]. - Key predictions for 2026 include: 1. Sales area of 810 million square meters, down 8% year-on-year [6]. 2. Average sales price of 9,144 yuan per square meter, down 4% year-on-year [6]. 3. Sales amount of 7.4 trillion yuan, down 12% year-on-year [6]. 4. Investment of 6.9 trillion yuan, down 16% year-on-year [6]. 5. New construction area of 480 million square meters, down 18% year-on-year [6]. 6. Completed area of 490 million square meters, down 19% year-on-year [6]. - The main market contradiction has shifted from "shrinking transaction volume" to "continuously falling prices," particularly in the second-hand housing market [6]. Market Outlook - The decline in the second-hand housing market further impacts the transaction volume of new homes [7]. - Overall liquidity is shrinking, leading to weakened demand that affects developers' investment and subsequently drags down the economy [8]. - 2026 is seen as the beginning of the "14th Five-Year Plan," with expectations for the real estate market to improve under the central economic work conference's goal of stabilizing investment [8]. - Two potential turning points are anticipated: a "policy turning point" around the end of Q1 and a "fundamental turning point" around Q4 [8]. - The "policy turning point" may reflect increased policy enthusiasm on both supply and demand sides, while the "fundamental turning point" will be indicated by a narrowing decline in second-hand housing prices [8]. Investment Recommendations - Despite expected declines in real estate sales, investment, and new construction in 2026, the rate of decline is anticipated to be less severe than in 2025 [8]. - Investment opportunities may arise in the real estate sector throughout 2026, with a focus on companies that have adequately accounted for impairments in 2025, as well as those that have proactively adapted to new business models [11]. - Suggested companies for investment include China Resources, Binjiang, Zhaoshang, Yuexiu, Jianfa, Poly Real Estate, and others involved in new consumption opportunities [11]. Risk Factors - Key risks include policies not being implemented as expected, continued declines in sales and housing prices, and slower-than-expected recovery of market confidence [12].
万科A:公司一直密切关注全国各地及香港房地产市场变化
Zheng Quan Ri Bao Wang· 2026-02-12 11:53
Group 1 - The core viewpoint of the article is that Vanke A is closely monitoring changes in the real estate market across the country and in Hong Kong, and is implementing flexible strategies to respond to these changes [1] - The company's operations in Hong Kong are reported to be stable [1]
万科A:公司推出了一系列广受客户好评的产品
Zheng Quan Ri Bao· 2026-02-12 11:37
Core Viewpoint - Vanke A has been actively involved in the Shenzhen real estate market since 1988, offering a range of well-received products and services to enhance residential experiences and asset values [1]. Group 1: Company Development - The company has launched several successful projects over the past 38 years, including City Garden, Four Seasons Flower City, Golden Home, Fifth Garden, Vanke City, Tianqin Bay, and the Zhen series [1]. - Vanke A has developed comprehensive projects such as Vanke Cloud City and Vanke Tianyu, contributing to the overall development of the area [1]. Group 2: Community Services - In addition to residential property development, the company operates community services and commercial projects through Vanke Cloud, aimed at improving living experiences and asset values [1]. - The company utilizes the "Easy Selection Housing" mini-program for investors to inquire about its development projects in Shenzhen [1]. Group 3: Market Adaptation - As a real estate enterprise rooted in Shenzhen, the company continuously strives to adapt to local market conditions and policy directions, optimizing products and services based on customer housing needs [1].
潮水已褪,福寿园的地产游戏现形!
Xin Lang Cai Jing· 2026-02-12 10:20
来源:市值风云 本质显现,逻辑反转。 作者 | 木盒 编辑 | 小白 2013-2018年国内墓地炒作升温,一线城市墓地单价普遍超10万元/㎡,远超同地段房价,叠加福寿园 (1448.HK)高毛利与稀缺性,吸引各路资金纷纷布局,被称为"殡葬界茅台"。 2023年仍有券商高喊墓地资产现值为301亿港币,认为2023年1月16日总市值156亿远远低估了。 (某券商研报) 但事后证明这个观点被打脸了,福寿园2024年业绩大幅下滑,2025年亏损了2.61亿。 | 截止日期 | | 2021-12-31 | 2022-12-31 | 2023-12-31 | 2024-12-31 | 2025-06-30 | | --- | --- | --- | --- | --- | --- | --- | | 报告期 | | 2021年报 | 2022年报 | 2023年报 | 2024年报 | 2025中报 | | 时间跨度 | | 12个月 | 12个月 | 12个月 | 12个月 | 6个月 | | 报表类型 | | 合并报表 | 合并报表 | 合并报表 | 合并报表 | 合并报表 | | ▽ 利润表摘要 | | | | ...