指数型股票基金

Search documents
新基金发行热潮不减,权益类产品“挑大梁”
Huan Qiu Wang· 2025-10-20 06:40
主动权益基金方面,本周共有8只混合型基金发行。其中,易方达、嘉实、汇添富三家头部公司推出的新型浮动费率基金,以及国金、百嘉发行的量化选股 产品,为市场带来了更多元化的投资策略选择。 【环球网财经综合报道】新基金发行市场持续保持活跃态势。据Wind数据,本周(10月20日至24日)将有29只新基金集中启动募集,显示出基金公司对当 前市场布局的积极态度。其中,权益类基金(主要投资于股票的基金)再次成为发行市场的绝对主力,占比超过八成。 从发行节奏来看,本周一(10月20日)成为新基金发行的"超级发行日",单日有26只基金扎堆亮相,占本周新发总数的近九成。值得注意的是,尽管新发数 量众多,但市场情绪趋于谨慎。本周新基金的平均认购天数拉长至28.79天,较此前有明显增加。业内分析人士认为,这可能与近期市场行情进入调整阶 段,投资者决策更为审慎有关。 指数基金与港股主题备受青睐 在本次新发浪潮中,权益类基金的内部结构呈现出鲜明特点。指数型股票基金(尤其是ETF及其联接基金)和指数增强型基金共计15只,占据了权益基金的 半壁江山,显示出投资者对低成本、高透明度工具型产品的强烈需求。 投资主题方面,港股市场成为一大亮点。多 ...
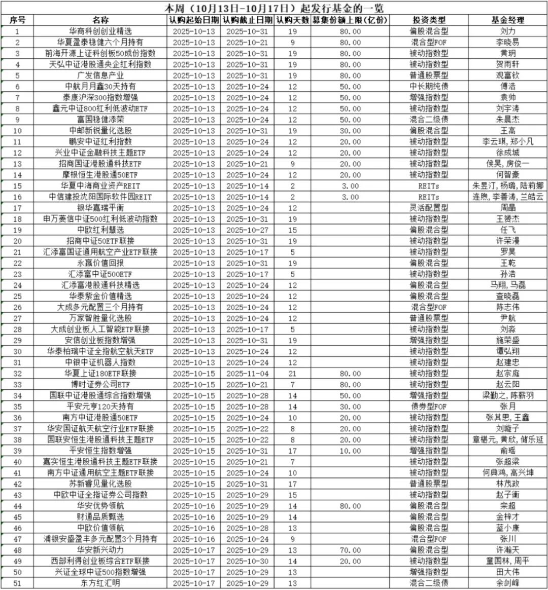
51只新基金,来了
Jing Ji Wang· 2025-10-14 01:50
国庆长假后首个完整交易周,新基金发行热度高企。本周(10月13日—10月17日)5个交易日中,共有51只新基金登场,面向投资者公开发行。 31只扎堆在周一发行 具体来看,周一(10月13日)仍是新基金发行的重要一天,本周51只新发基金中31只扎堆在周一发行,占本周新基金的60.78%;周二无新基金启动募 集,周三、周四和周五分别有12只、4只、4只基金开始认购。 从认购天数来看,本周新基金中,认购天数最长为21天,来自华夏上证180ETF联接。在其之后,招商中证A50ETF联接、申万菱信中证A500红利低波动指 数、中邮新锐量化选股等9只新基金的计划认购天数均为19天,苏新睿见量化选股和平安恒生指数增强紧随其后,认购天数为17天。 整体来看,51只新基金平均认购天数为12.59天,较此前明显缩短。 业内认为,这或与近期市场行情及预期表现向好有关,新基金发行回暖信号频现,例如多只权益新基金扎堆提前结束募集。 本周新基金中,认购天数最短的是两只公募REITs产品——中信建投沈阳国际软件园REIT与华夏中海商业资产REIT,仅发售两天。另有三只基金的认购天 数为5天,且均为被动指数型股票基金,分别是汇添富国证通用航 ...
市场回暖带动权益投资热情升温 前三季度新发基金超1100只
Zheng Quan Shi Bao Wang· 2025-10-01 08:17
Group 1 - The core viewpoint of the articles highlights a significant increase in the issuance of new public funds, driven by a recovering A-share market and a shift in investor sentiment towards equity investments [1][2][3] - As of September 30, 2025, a total of 1,138 new funds were issued, representing a 31.87% increase compared to 863 funds in the same period of 2024 [1] - Equity funds have become the dominant category in the new fund issuance market, with 823 equity funds issued, accounting for over 70% of the total new funds [1] Group 2 - The issuance of QDII and bond funds has decreased significantly, with only 13 QDII funds issued this year, a 50% drop from 26 in 2024 [2] - Bond fund issuance also declined, with 221 new bond funds issued, representing a 17.54% decrease from 268 in the previous year [2] - Mixed funds saw a slight decrease in issuance, with 195 new mixed funds, a 2.99% decline from 201 in 2024, indicating a preference for more distinct equity funds [2] Group 3 - FOF funds have experienced the largest growth in issuance, with 49 new FOF funds, a 113.04% increase from 23 in 2024, despite only accounting for 4.31% of the total market [3] - The surge in FOF fund issuance is attributed to a growing demand for professional asset allocation among investors, as these funds help mitigate risks through diversified investments [3]
新基发行超千只!权益火热,债基遇冷
Guo Ji Jin Rong Bao· 2025-09-29 14:07
Core Insights - The overall market for new fund issuance has shown significant growth in 2025, with a total of 1,138 new funds launched, representing a year-on-year increase of 31.87% compared to 863 funds in 2024 [1] Fund Issuance by Type - Equity funds have emerged as the dominant category, with 823 equity funds issued, accounting for 72.32% of the total new fund issuance, and stock funds making up 78.25% of the equity fund total [2] - FOF (Fund of Funds) has seen the largest growth in issuance, with 49 funds launched, a 113.04% increase from 23 funds in 2024, driven by rising demand for professional asset allocation [3] - Index-based investments have surged, with 623 index stock funds out of 644 total stock funds issued, representing 96.74% of new stock fund issuance, reflecting the growing popularity of passive investment strategies [3] Market Trends - The issuance of QDII (Qualified Domestic Institutional Investor) funds and bond funds has declined, with only 13 QDII funds issued, a 50% decrease from 26 in 2024, and 221 bond funds issued, down 17.54% from 268 in the previous year [3] - Mixed funds have also seen a slight decrease in issuance, with 195 funds launched, a 2.99% decline from 201 in 2024, indicating a preference for more clearly defined stock funds in a stable market environment [4] - The favorable conditions for equity investment are attributed to relatively low valuations in the A-share market, macroeconomic stabilization, and improving corporate earnings, which have created a conducive environment for equity investments [4]
2100亿规模鑫元基金副总"降职" 南京银行系高管全面接管
Guan Cha Zhe Wang· 2025-09-05 07:19
Core Viewpoint - The recent personnel changes at Xinyuan Fund Management Co., Ltd. have raised market attention, particularly the adjustment of veteran executive Wang Hui from Deputy General Manager to Senior Specialist, which is seen as a significant shift in management dynamics [1][2]. Group 1: Personnel Changes - Wang Hui, who served as Deputy General Manager for nearly ten years, has been reassigned to a less influential role as Senior Specialist, which is unusual in the industry [1]. - The management team now has a dominant presence of executives from Nanjing Bank, which holds an 80% stake in Xinyuan Fund, indicating increased control by the major shareholder [2]. - The transition of Wang Hui is interpreted as a potential "cleaning" of management by the shareholders, especially since he lacks a background in Nanjing Bank and is nearing retirement age [2]. Group 2: Financial Performance - Xinyuan Fund reported a revenue of 356 million yuan for the first half of 2025, marking a year-on-year increase of 17.49%, and a net profit of 107 million yuan, up 15.03% [1]. - As of mid-2025, the total assets under management reached 211.78 billion yuan [1]. Group 3: Business Structure Challenges - The fund's business structure is heavily reliant on fixed-income products, with bond and money market funds accounting for 98% of total assets under management [3]. - In contrast, mixed and equity funds only total 3.05 billion yuan, representing less than 1.5% of the total [3]. - The performance of Xinyuan Fund's equity investments has lagged behind industry averages, with one-year and two-year returns of 2.58% and 5.49%, respectively, compared to industry averages of 15.69% and 9.53% [3]. Group 4: Strategic Initiatives - To address the over-reliance on fixed-income products, Xinyuan Fund has been actively launching new equity funds, with nine new funds issued in the past year, five of which are index equity funds [4]. - The company has promoted four new equity fund managers, all of whom were internally trained [4]. Group 5: Future Outlook - The ability of the new management team from Nanjing Bank to shift the focus from fixed-income dominance to equity business growth will be a critical measure of the effectiveness of the recent personnel changes [5]. - The case of Xinyuan Fund reflects broader challenges faced by bank-affiliated fund companies in transitioning their business models amid regulatory encouragement for equity fund development [5].