NTES(NTES)
Search documents
网易-S(9999.HK):长青游戏持续修复 《燕云十六声》全球表现亮眼
Ge Long Hui· 2025-11-27 20:04
《梦幻西游》端游畅玩服活跃持续创新高,《燕云十六声》Q4 出海表现优异。 25Q3 游戏及相关增值服务总收入 233 亿(yoy+12%),较彭博预期低2%。主要系合同负债未确认流水 部分较高。毛利率69%(qoq-0.9pct),主要系涉及一次性渠道费调整。我们预期25Q4 手游长青游戏表 现稳健,主要系去年下半年《蛋仔派对》、《逆水寒》已从高位回落,而今年《蛋仔派对》修复增长、 《燕云十六声》构成显著增量;端游预期同比维持较高增长,主要系1)暴雪游戏《暗黑破坏神4》、 《星际争霸2》回归,2)老牌端游《梦幻西游》因畅玩服创新高。新品储备来看,搜打撤游戏《遗忘之 海》有望于2026 年上线。 新增版权库和原创音乐人扶持有望驱动在线音乐付费用户持续增长。25Q3 云音乐营收20 亿(yoy-2%), 较彭博预期低3%,我们判断主要系数字专辑内容波动等影响,而公司下半年陈奕迅等版权回归、内容 持续新增,我们判断流量和付费会员维持稳定增长。核心在线音乐业务来看,我们预期25Q4 在线音乐 收入维持10%增速。主要系我们认为随着曲库进一步完善,付费率将持续提升。但在ARPU 层面,我们 认为公司仍然着重拓展学生会员 ...
网易-S(09999.HK):游戏出海持续推进 AI多维度赋能业务
Ge Long Hui· 2025-11-27 20:04
机构:华安证券 研究员:金荣/赵浦轩 新游上线不确定性;游戏版号数量波动;玩家消费意愿及收入预期不确定性。 有道业务软硬件布局推进"AI+教育"布局 有道业务三季度实现收入16.3 亿元,yoy+3.6%,整体稳健运营。有道持续加深"AI+教育"布局,通过赋 能软硬件产品及服务突破升级。硬件方面,2025 年8 月推出新一代有道AI 答疑笔SpaceX,人均每日答 疑次数超过10 次,中学阶段理科题占理科答疑请求60%,价格上标准WiFi 版1199 元,支持插卡的4G 流量版1399 元。软件方面,推出面AI 化的网易有道词典,在识别能力、翻译覆盖度及翻译质量上能力 大幅提升。 AI 功能提升云音乐用户体验,进一步丰富平台生态云音乐三季度实现收入19.6 亿元,yoy-1.8%。公司 加深社区生态建设,通过AI 推动听感体验。三季度推出基于大模型技术的音效功能"AI 调音大师",核 心内容包括:1.可以通过大模型进行调参,实现"千歌千面";2.支持可视化调音;3.支持个性化调节;4. 提供试听功能。AI 功能的推出进一步丰富了平台内容生态,提升用户体验。 投资建议 我们预计25/26/27 年公司营业收入分 ...
支援香港大埔救灾,阿里、滴滴、腾讯、字节、小米、京东等大厂捐款捐物





YOUNG财经 漾财经· 2025-11-27 14:26
资料图。本文来源 :21世纪经济报道 11月27日,马云公益基金会捐赠3000万港元驰援香港,向受灾家庭和个人提供经济援助。同时,阿里巴巴集团启动首批捐款2000万港元,支援 香港火灾救援及后续过渡安置、生活物资补给、情绪疏导等。蚂蚁集团也捐赠1000万港元支援香港大埔火灾救援。 滴滴首批捐赠1000万港元,用于应急救援和人道救助,并将根据救灾进展持续提供后续支持。 滴滴香港公司将积极配合特区政府统一部署,通 过滴滴平台引导车辆避让受灾区域,及时传递官方救援与求助信息,协助保障市民安全出行。 "滴滴公益救援"联合深圳公益救援队,将在主管 部门指挥调度下随时投入行动,全力参与灾后救援与支援工作。 腾讯基金会宣布,腾讯公益慈善基金会(香港)启动首批捐款1000万港元,用于受灾居民的紧急救援、过渡安置、生活物资补给及情绪疏导等 急需工作。 字节跳动捐赠1000万港元,支持香港大埔火灾救援,捐款将用于受灾人群的紧急救援与过渡安置,并助力灾后社区的恢复工作。 支援香港大埔救灾,阿里、滴滴、腾讯、字节、小米、京东等大厂捐款捐物 11月26日下午,香港大埔宏福苑发生五级火灾,牵动社会各界关注。阿里、京东、滴滴、腾讯、字节跳 ...
网易-S(09999):网易(9999)25Q3点评:长青游戏持续修复,《燕云十六声》全球表现亮眼
Orient Securities· 2025-11-27 13:53
长青游戏持续修复,《燕云十六声》全球表 现亮眼 ——网易(9999.HK)25Q3 点评 网易-S 09999.HK 公司研究 | 季报点评 核心观点 盈利预测与投资建议 ⚫ 公司暴雪游戏陆续恢复运营,长青游戏《燕云十六声》海内外表现优异。2026 年期 待《遗忘之海》上线驱动增长。我们预测公司 25~27 年归母净利润为 362/398/450 亿元(原 25~27 为 363/390/433 亿元,因根据游戏表现及 Q3 财报调整收入、毛利 率,费率等,从而调整盈利预测)。我们采用 SOTP 估值,给予目标价 248.49 港币 /226.29 人民币(HKD/CNY=0.91),维持"买入"评级。 风险提示 新游戏表现不及预期;版号审批不确定性;游戏净利率波动性较大;直播竞争加剧 公司主要财务信息 | | 2023A | 2024A | 2025E | 2026E | 2027E | | --- | --- | --- | --- | --- | --- | | 营业收入(百万元) | 103468 | 105295 | 113480 | 122977 | 138188 | | 同比增长 (%) | 7 ...
网易-S(09999):25Q3点评:长青游戏持续修复,《燕云十六声》全球表现亮眼
Orient Securities· 2025-11-27 13:04
⚫ 公司暴雪游戏陆续恢复运营,长青游戏《燕云十六声》海内外表现优异。2026 年期 待《遗忘之海》上线驱动增长。我们预测公司 25~27 年归母净利润为 362/398/450 亿元(原 25~27 为 363/390/433 亿元,因根据游戏表现及 Q3 财报调整收入、毛利 率,费率等,从而调整盈利预测)。我们采用 SOTP 估值,给予目标价 248.49 港币 /226.29 人民币(HKD/CNY=0.91),维持"买入"评级。 风险提示 新游戏表现不及预期;版号审批不确定性;游戏净利率波动性较大;直播竞争加剧 公司主要财务信息 | | 2023A | 2024A | 2025E | 2026E | 2027E | | --- | --- | --- | --- | --- | --- | | 营业收入(百万元) | 103468 | 105295 | 113480 | 122977 | 138188 | | 同比增长 (%) | 7.23% | 1.77% | 7.77% | 8.37% | 12.37% | | 营业利润(百万元) | 27709 | 29584 | 36157 | 39580 | ...
支援香港大埔救灾,阿里、京东、滴滴、腾讯、联想等大厂捐款捐物
2 1 Shi Ji Jing Ji Bao Dao· 2025-11-27 12:14
11月26日下午,香港大埔宏福苑发生五级火灾,牵动社会各界关注。阿里、京东、滴滴、腾讯、字节跳 动、联想等互联网大厂捐款捐物,驰援香港。 11月27日,马云公益基金会捐赠3000万港元驰援香港,向受灾家庭和个人提供经济援助。同时,阿里巴 巴集团启动首批捐款2000万港元,支援香港火灾救援及后续过渡安置、生活物资补给、情绪疏导等。蚂 蚁集团也捐赠1000万港元支援香港大埔火灾救援。 滴滴首批捐赠1000万港元,用于应急救援和人道救助,并将根据救灾进展持续提供后续支持。 腾讯基金会宣布,腾讯公益慈善基金会(香港)启动首批捐款1000万港元,用于受灾居民的紧急救援、 过渡安置、生活物资补给及情绪疏导等急需工作。 "滴滴公益救援"也已经联合深圳公益救援队,将在主管部门指挥调度下随时投入行动,全力参与灾后救 援与支援工作。 阿里巴巴集团启动应急救灾响应机制,旗下菜鸟等业务正调动最近距离食物、被褥等应急物资,送往受 灾地。 联想香港向大埔宏福苑五级火灾事件捐款1000万港元,用于受灾居民的紧急救援、生活物资补给、医疗 救助及后续善后工作。 雷军发文称,香港小米基金会捐赠1000万港元,紧急驰援香港大埔火灾救援。 此外,捐 ...
支援香港大埔救灾,阿里、京东、滴滴、腾讯、联想等大厂捐款捐物





21世纪经济报道· 2025-11-27 12:07
11月26日下午,香港大埔宏福苑发生五级火灾,牵动社会各界关注。阿里、京东、滴滴、腾 讯、字节跳动、联想等互联网大厂捐款捐物,驰援香港。 11月27日, 马云公益基金会 捐赠3000万港元驰援香港,向受灾家庭和个人提供经济援助。同 时, 阿里巴巴集团 启动首批捐款2000万港元,支援香港火灾救援及后续过渡安置、生活物资 补给、情绪疏导等。 蚂蚁集团 也捐赠1000万港元支援香港大埔火灾救援。 滴滴 首批捐赠1000万港元,用于应急救援和人道救助,并将根据救灾进展持续提供后续支 持。 腾讯基金会 宣布,腾讯公益慈善基金会(香港)启动首批捐款1000万港元,用于受灾居民的 紧急救援、过渡安置、生活物资补给及情绪疏导等急需工作。 记者丨孔海丽 刘雪莹 编辑丨张伟贤 在香港中联办帮助下,京东集团旗下香港佳宝超市作为首家将救援物资送达现场的企业,紧 急调配矿泉水、夹心饼干、麻薯、泡面等生活急需物资。火灾发生当晚,首批救援物资就已 从附近仓储发出,由专人专车送达受灾区域指定地点;目前第二批救援物资已装车完毕,将 根据现场需求随时调拨补充,切实保障受灾同胞的基本生活需求。 与此同时,京东物流也第一时间启动预案并成立应急小组 ...
40多家企业及基金会驰援香港大埔火灾,合计捐款超6亿港元





Xin Lang Cai Jing· 2025-11-27 11:35
Core Points - The fire in Hong Kong's Tai Po district has resulted in 55 fatalities and 76 injuries, with the situation now under control [2] - Over 40 companies, foundations, and notable individuals have contributed more than 600 million HKD in donations for rescue and post-disaster recovery efforts [1][2] Donations and Contributions - Alibaba Group has pledged an initial donation of 20 million HKD to support rescue and transitional housing efforts [2] - Anta Group, Li Ning Group, and Xtep Group each donated 20 million HKD, while Wens Foodstuff Group contributed 40 million HKD [4] - The Li Ka Shing Foundation has allocated a total of 80 million HKD for emergency aid and community rebuilding [4] - The Ma Yun Public Welfare Foundation donated 30 million HKD to assist affected families and support emergency responders [4] - Various companies, including ByteDance, Xiaomi, and Tencent, have made donations ranging from 5 million HKD to 20 million HKD [4][5] Emergency Response Initiatives - JD Group's Hong Kong subsidiary has activated an emergency response team to deliver essential supplies to affected areas [5] - The China Red Cross has donated 2 million RMB for emergency rescue and humanitarian assistance [5] - Multiple insurance companies have initiated emergency claims procedures to support affected families [5]
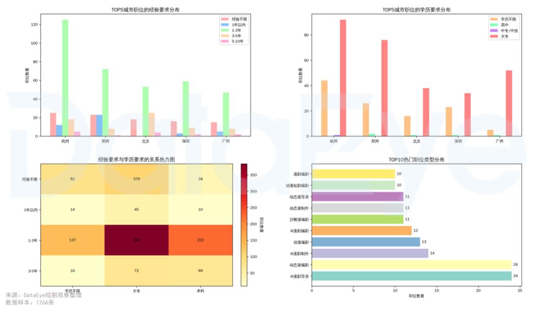
女频化、抽卡师、全面出海:AI漫剧的十大趋势
3 6 Ke· 2025-11-27 11:33
从抖音、快手、B站到网易,各大平台以前所未有的力度砸下资金与流量,通过创投计划、独立App与频道建设占据有利位置。 而在制作端,一批像灵矩动漫这样的AI漫剧团队,在数月内将团队规模扩张十倍,以"22天完成100分钟剧集"的恐怖效率与仅花费传统番剧十分之一的极 致成本,彻底颠覆了动画内容的生产逻辑。 这一变革背后,是技术、市场、用户与创作四者之间的深度碰撞与融合。男频题材在快速占领市场的同时,女性向内容的潜力也已初露锋芒;基于成熟网 文的IP改编成为支撑起月产数十部AI漫剧产能的基石,而原创IP的跨界联动与衍生开发,已展现出超越内容本身的商业价值。与此同时,头部公司已开始 探索AI漫剧的出海业务,西幻题材或将成为打开海外市场的金钥匙。 过去一年,一股AI漫剧新浪潮正悄然席卷内容行业。 近期,娱乐资本论对话了十余位AI漫剧领域的创作者和平台方,梳理出"AI漫剧十大趋势",试图勾勒出这一赛道未来的发展路径与关键变量,为每一位关 注AI漫剧未来的同行者,提供一份驶向新世界的导航图。 大厂纷纷交卷,构建漫剧频道和小程序 今年年初开始,各个大厂就开始公布一系列AI漫剧的扶持计划。从这些消息不难看出,大厂扶持的力度还是非常 ...
腾讯、阿里、蚂蚁、字节跳动、小米、滴滴……宣布捐款捐物!
Zheng Quan Shi Bao Wang· 2025-11-27 10:13
(原标题:腾讯、阿里、蚂蚁、字节跳动、小米、滴滴……宣布捐款捐物!) 此外,小米创办人、董事长兼CEO雷军微博发文宣布,11月27日上午,香港小米基金会紧急驰援1000万 港元,用于受灾居民的医疗救助、紧急安置、过渡期生活救助等救援工作。 据"滴滴公益"微信公众平台信息,滴滴首批捐赠1000万港元,用于应急救援和人道救助,并将根据救灾 进展持续提供后续支持。滴滴香港公司将积极配合特区政府统一部署,通过滴滴平台引导车辆避让受灾 区域,及时传递官方救援与求助信息,协助保障市民安全出行。 据了解,"滴滴公益救援"联合深圳公益救援队,将在主管部门指挥调度下随时投入行动,全力参与灾后 救援工作。 据字节跳动官微消息,11月27日,字节跳动(香港)启动捐赠1000万港元,捐款将用于受灾人群的紧急 救援与过渡安置,并助力灾后社区的恢复工作。该公司表示,字节跳动向恪尽职守、全力投入救援的消 防与救护人员,以及积极参与赈灾的各界团体致以崇高的敬意。 此外,网易公司决定捐赠1000万港元,用于支持当地紧急救援、过渡安置、灾后社区恢复、居民情绪疏 导等各项工作。 与此同时,多家基金会也踊跃伸出援手。马云公益基金会表示,将紧急捐赠3 ...